eicher der bad batterie
Look This Also
report an audience with manfred eicher at the royal academy of music news reviews features and comment from the london jazz scene and beyond
report an audience with manfred eicher at the royal academy of music news reviews features and comment from the london jazz scene and beyond
upgrading without formal integration in m a the role of social integration torres de oliveira 2020 global strategy journal wiley online library
upgrading without formal integration in m a the role of social integration torres de oliveira 2020 global strategy journal wiley online library
royal enfield domestic sales royal enfield domestic sales down 13 to 50 416 units in december 2019 auto news et auto
latest news karam industries diversifies its healthcare portfolio with surgical face mask oerlikon balzers india achieves gold award in cii 4th national safety practice competition phillips machine tools join hands with unbound futures providing covid19
eicher motors cfo eicher motors appoints kaleeswaran arunachalam as chief financial officer auto news et auto
sustainability free full text sustainability in the canadian egg industry learning from the past navigating the present planning for the future html
report an audience with manfred eicher at the royal academy of music news reviews features and comment from the london jazz scene and beyond
upgrading without formal integration in m a the role of social integration torres de oliveira 2020 global strategy journal wiley online library
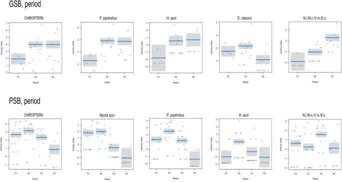
bat activity and evidence of bat migration at two high elevation passes in the western alps springerlink
upgrading without formal integration in m a the role of social integration torres de oliveira 2020 global strategy journal wiley online library
https www enel com content dam enel com documenti investitori informazioni finanziarie 2016 annuali en annual report 2016 pdf
5 95 u s 6 95 can 4 95 u k y2 500 japan birmingham u k gaining int l respect wide ranging west midlands acts fight stereotypes pdf free download






















